Постанова
КМУ від 29
листопада 2006 р.
№ 1655 “Про
затвердження
Національного
стандарту N 3
"Оцінка
цілісних
майнових
комплексів"
…
ОСОБЛИВОСТІ
ЗАСТОСУВАННЯ
ДОХОДНОГО
ПІДХОДУ В
ОЦІНЦІ
ЦІЛІСНИХ
МАЙНОВИХ
КОМПЛЕКСІВ
(ПРАКТИЧНІ
АСПЕКТИ).
13.
Дохідний
підхід до
проведення
оцінки
цілісного
майнового
комплексу
ґрунтується
на
застосуванні
оціночних
процедур
переведення
очікуваних
доходів
(чистих
грошових
потоків або дивідендів)
у вартість
цілісного
майнового
комплексу. Оцінка
цілісного
майнового
комплексу проводиться
з
урахуванням
поточного
фінансового
стану
підприємства,
цілісний
майновий
комплекс
якого
оцінюється,
та
прогнозних
показників
діяльності такого
майнового
комплексу.
14.
Основним
методом
дохідного
підходу, що
застосовується
для
проведення
оцінки
цілісних
майнових
комплексів, є
метод дисконтування
грошового
потоку.
Застосування
методу
дисконтування
грошового
потоку
передбачає
такі оціночні
процедури:
вибір
відповідної
моделі
грошового
потоку;
визначення
прогнозного
періоду
надходжень
грошового
потоку;
проведення
прогнозування
складових
чистого
грошового
потоку та
його розрахунку
на кожен рік
(квартал,
місяць)
прогнозного
періоду;
обґрунтування
складових
ставки
дисконту та
її
визначення;
проведення
розрахунку
вартості
реверсії та
його
обґрунтування;
визначення
поточної
вартості чистих
грошових
потоків, реверсії
та надлишкового
майна у разі
його
наявності в
цілісному
майновому
комплексі;
визначення
вартості
цілісного майнового
комплексу як
суми
поточної
вартості
чистих
грошових
потоків,
реверсії та
поточної
вартості
надлишкового
майна.
15.
Виходячи із
специфіки
діяльності
підприємства,
цілісний
майновий
комплекс
якого
оцінюється,
та завдань
оцінки, застосовуються
такі моделі
грошового
потоку:
чистий
грошовий
потік для
власного
капіталу;
чистий
грошовий
потік для
інвестованого
капіталу.
16.
Розрахунок
грошового
потоку ґрунтується
на результатах
аналізу
показників
фінансово-господарської
діяльності
підприємства,
цілісний
майновий
комплекс
якого оцінюється,
за період, що
передує даті
оцінки, та прогнозний
період.
Прогнозний
період
визначається
з урахуванням
специфіки
діяльності
оцінюваного
цілісного
майнового
комплексу, а
саме:
життєвого
циклу
продукції
(товарів,
робіт, послуг),
графіка
обслуговування
довгострокової
заборгованості,
інвестиційних
планів та
прогнозів щодо
очікуваних
істотних
змін, що
відбудуться
в діяльності
підприємства,
цілісний майновий
комплекс
якого
оцінюється.
Вибір
тривалості
прогнозного
періоду
повинен
узгоджуватися
із способом визначення
вартості
реверсії.
Тривалість прогнозного
періоду
вважається
достатньою,
якщо обраний
спосіб визначення
реверсії дає
змогу
врахувати
всі відомі на
дату оцінки
факти та
припущення щодо
результатів
провадження
діяльності
підприємства,
цілісний
майновий
комплекс
якого
оцінюється, в
період, що
настає за прогнозним.
17.
Чистий
грошовий
потік для
власного
капіталу на
кожен рік
(квартал,
місяць) прогнозного
періоду
розраховується
як прогнозована
величина
чистого
прибутку, збільшена
на
прогнозовану
суму
амортизації,
що врахована
в складі
витрат під
час визначення
величини
чистого
прибутку,
зменшена на
величину
прогнозованого
приросту
робочого капіталу
(збільшена на
величину
зменшення робочого
капіталу)
зменшена на
суму прогнозованих
капітальних
інвестицій
та збільшена
на величину
приросту
довгострокових
зобов'язань (зменшена
на величину
зменшення
довгострокових
зобов'язань)
за
відповідний
період.
18.
Модель
чистого
грошового
потоку для
інвестованого
капіталу
відображає вартість
цілісного
майнового
комплексу з урахуванням
власного та
запозиченого
капіталу.
Чистий
грошовий
потік для
інвестованого
капіталу на
кожен рік
(квартал,
місяць)
прогнозного
періоду
розраховується
як
прогнозована
величина
чистого
прибутку,
розрахована за
умови
припущення
про
відсутність
витрат на
сплату
відсотків за
довгостроковим
боргом, збільшена
на
прогнозовану
суму
амортизації, що
врахована в
складі
витрат під
час визначення
величини
чистого
прибутку,
зменшена на
величину
прогнозованого
приросту робочого
капіталу
(збільшена на
величину зменшення
робочого
капіталу) і
зменшена на величину
прогнозованих
капітальних
інвестицій
за відповідний
період.
19.
Прогнозування
грошового
потоку за
будь-якою з
його моделей,
зазначених у
пункті 15
цього
Стандарту,
здійснюється
у цінах
відповідного
року
(кварталу,
місяця) прогнозного
періоду з
урахуванням
прогнозованого
рівня
інфляції
(номінальний
грошовий
потік) або у
цінах, що
діють на дату
оцінки, без
урахування
прогнозованого
рівня
інфляції
(реальний
грошовий
потік).

У
разі
прогнозування
номінального
грошового
потоку прогнозований
рівень
інфляції
враховується
під час
визначення
ставки
дисконту відповідно
до пункту 23
цього
Стандарту.
Стале
зростання

Фіксований
ануїтет
(рента)

Зростаючий
ануїтет
(рента)

Фіксована
вічність

Зростаюча
вічність

Поточна
вартість
вічного
зростання
грошових
потоків

20. Принцип найбільш ефективного використання втілюється під час проведення оцінки цілісних майнових комплексів шляхом здійснення під час прогнозування грошових потоків цілісного майнового комплексу припущення про раціональне розпорядження майном, що включає оцінюваний цілісний майновий комплекс. Раціональним вважається розпорядження майном цілісного майнового комплексу, що спрямоване на максимізацію поточної вартості очікуваних чистих грошових потоків такого цілісного майнового комплексу і отже - на максимізацію його ринкової вартості.
Прогноз
грошових
потоків
ґрунтується
на логічному
взаємозв'язку
та
обґрунтованості
його
складових.
У разі
коли
прогнозується
збільшення
(зменшення) обсягу
виробництва
продукції
(товарів, робіт,
послуг)
підприємства,
цілісний
майновий
комплекс
якого
оцінюється,
під час прогнозування
складових
чистого
грошового потоку
враховуються
відповідні
очікувані
зміни робочого
капіталу.
Прогнозування
капітальних
інвестицій, збільшення
(зменшення)
робочого
капіталу та сум
довгострокових
зобов'язань
здійснюється
на підставі
та у
взаємозв'язку
з
прогнозними
показниками
діяльності підприємства,
цілісний
майновий
комплекс
якого
оцінюється.
Під час
прогнозування
необхідно
враховувати
лише ті інвестиції,
збільшення
(зменшення)
робочого капіталу
та сум
довгострокових
зобов'язань,
доцільність
яких
економічно
обґрунтована,
а відповідні
витрати
забезпечені
прогнозованими
внутрішніми
або
зовнішніми
джерелами фінансування
(можливістю
позичення
необхідних
коштів).
21. У разі
коли
припущення
про можливість
початку чи
продовження
(відновлення)
провадження
прогнозованої
господарської
діяльності підприємства,
цілісний
майновий
комплекс якого
оцінюється,
без
початкових
капітальних
інвестицій
або
інвестицій в
оборотні
засоби
(покриття
дефіциту
оборотних
засобів)
некоректне,
такі
інвестиції
враховуються
під час
проведення
розрахунків:
без
дисконтування,
якщо
очікувані
строки їх
внесення наближені
до дати
оцінки і
можуть бути
обґрунтовано
ототожнені з
нею;
у
складі
прогнозованих
грошових потоків
на
відповідні
квартали або
місяці, що
підлягають
дисконтуванню.
При цьому прогнозування
та
дисконтування
грошових
потоків у
межах
прогнозного
періоду
здійснюються
за
кварталами
або місяцями.
Дефіцит
оборотних
засобів
визначається
як різниця
між
величиною
робочого капіталу,
необхідного
для
нормального
функціонування
підприємства,
цілісний майновий
комплекс
якого
оцінюється,
та величиною
його наявного
робочого
капіталу на
дату оцінки.
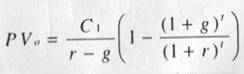
22. Вартість
реверсії
визначається
виходячи з
очікуваних
результатів
найбільш
ефективного
використання
активів
цілісного
майнового
комплексу в період,
що настає за
прогнозним,
на підставі
грошових
потоків
цілісного
майнового комплексу,
отримання
яких
передбачається
після
прогнозного
періоду, з
урахуванням у
разі
наявності
тенденції до
їх рівномірного
збільшення
(зменшення).
23. Для
проведення розрахунку
ставки
дисконту
застосовуються
методи, що
відповідають
моделі
грошового
потоку, яку
обрано для
проведення
оцінки.
Основним
методом
розрахунку
ставки
дисконту для
власного капіталу
є метод
кумулятивної
побудови, який
враховує
додаткові
ризики
інвестування
в оцінюваний
цілісний
майновий
комплекс
порівняно з
інвестуванням
в альтернативні
об'єкти, що
характеризується
мінімальним
ризиком.
Основним
методом
розрахунку
ставки
дисконту для
інвестованого
капіталу є метод
середньозваженої
вартості
капіталу,
який
ґрунтується
на
врахуванні
норм доходу
на власний та
запозичений
капітал з урахуванням
розміру
часток
власного та
запозиченого
капіталу в
інвестованому
капіталі.
Застосування
інших
методів
розрахунку
ставки
дисконту,
проведення
такого розрахунку
на початок,
середину або
кінець
кожного року
(кварталу,
місяця)
прогнозного
періоду
обґрунтовується
у звіті про
оцінку
цілісного
майнового комплексу.
Для дисконтування
вартості
реверсії
застосовуються
коефіцієнти,
обчислені з урахуванням
часу, на який
визначається
вартість
реверсії і
вибір якого
залежить від
методу визначення
вартості
реверсії, що
обґрунтовується
у звіті про
оцінку
цілісного
майнового
комплексу.
Розрахунок
ставки
дисконту для
номінального
грошового
потоку
здійснюється
з
урахуванням
прогнозного
рівня інфляції,
для
реального
грошового
потоку - без
урахування
такого рівня.
24.
Визначення поточної
вартості
надлишкового
майна
(необоротних
та/або
матеріальних
оборотних
активів)
здійснюється
з
використанням
баз оцінки,
що
відповідають
принципам
корисності
та найбільш
ефективного
використання
надлишкового
майна.
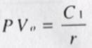
25. У разі
коли грошові
потоки від
функціонування
цілісного
майнового
комплексу
очікуються
постійні і
однакові за
обсягом або з
тенденцією
до
рівномірного
зростання та
їх отримання
не
обмежується
у часі, може
застосовуватися
метод прямої
капіталізації
доходу. При
цьому як
дохід
розглядається
чистий грошовий
потік,
визначений
відповідно
до вимог
цього
Стандарту. У
разі
наявності в
цілісному
майновому комплексі
надлишкового
майна його
вартість
додається до
вартості,
визначеної
із застосуванням
методу
прямої
капіталізації
доходу.
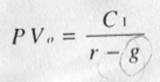
26.
Застосування
методу
прямої капіталізації
доходу
передбачає
визначення:
періоду
капіталізації
чистого
грошового
потоку (рік,
квартал,
місяць,
операційний
цикл);
чистого
грошового
потоку за
період;
відповідної
ставки
капіталізації
і її
обґрунтування;
вартості
надлишкового
майна у разі
його
наявності в
цілісному
майновому комплексі;
вартості
цілісного
майнового
комплексу
шляхом
ділення
чистого
грошового потоку
на ставку
капіталізації
і збільшення
отриманого
результату
на вартість
надлишкового
майна у разі
його
наявності в цілісному
майновому
комплексі.
Абзац
7 пункту 28
Національного
стандарту N 3 "Оцінка
цілісних
майнових
комплексів",
регулюючи
оцінку за
методом
ринку
капіталу,
визначає, що “урахування
вартості прав контролю
здійснюється шляхом
застосування
контрольної
надбавки”.
Абзац
3 пункту 29
Національного
стандарту N 3
"Оцінка
цілісних
майнових
комплексів",
регулюючи
оцінку за
методом
ринку капіталу,
визначає,
що “якщо
базовим
показником є ціна
продажу (пропонування)
корпоративної
частки
подібного
цілісного
майнового
комплексу,
попередньо здійснюється її
коригування на
розмір
контрольної
надбавки з метою врахування прав
контролю за
стовідсотковою
корпоративною
часткою з
наступним
визначенням
мультиплікаторів”.
Насправді
ж, при
розрахунку
інвестиційної
вартості
простих
акцій за дохідним
методом
непрямої
капіталізації
варто
додатково
брати до
уваги
спеціальну
вартість
об'єкта
оцінки у
вигляді
контрольної
надбавки (п. 28
Національного
стандарту № 3)
для покупців
простих
акцій при
збільшенні
частки у
статутному
фонді на
рівнях 10%, 25%, 40%, 50%, 60%, 75%
та 90% від
статутного
фонду.
Контрольну
знижку варто
застосовувати
оцінювачем
для
продавців
простих
акцій при
зменшенні
частки у
статутному
фонді на
рівнях 90%, 75%, 60%, 50%, 40%, 25% та 10% від
статутного
фонду, що
відповідає рівням
корпоративного
контролю,
згідно
бухгалтерського
обліку та
Закону України
№ 514-VI від 17
вересня 2008
року “Про
акціонерні
товариства”. Блокуючі
пакети
простих
акцій можуть
бути
трирівневі:
- 50% акцій
- для
блокування
рішення
простої більшості
голосів,
- 40%+1
акція – для
блокування
загальних зборів
акціонерів (закон
про
акціонерні
товариства
залишає норму,
що
передбачає
кворум для
проведення
загальних
зборів
акціонерів не
менш ніж 60%+1
акція),
- 25%+1 акція –
для
блокування
рішень, для
прийняття
яких
потрібно 75%
голосів.
Згідно
ч.2 статті 98
Цивільного
Кодексу України,
прийнятого
від 16 січня 2003
року N 435-IV,
“рішення
про внесення
змін до статуту
товариства,
відчуження
майна
товариства
на суму, що
становить
п'ятдесят і
більше
відсотків
майна товариства,
та про
ліквідацію
товариства
приймаються
більшістю не
менш як у 3/4 голосів,
якщо інше не
встановлено
законом”. Емісія
акцій
врегульовується
статтею 21 Закону
України від 17
вересня 2008
року № 514-VI “Про
акціонерні
товариства”.
© ТОВ “Мультипрофіль-сервіс”
РОЗМІСТИТИ
РЕКЛАМУ НА
САЙТІ.